H银行财务共享模式下费用报销流程优化思考
本文是一篇财会管理论文,本文以H银行的费用报销模块作为研究对象,通过对比传统业务流程存在的弊端,以及财务共享模式改革下业务流程优化的具体过程、效果分析,发现财务共享不仅改变了传统管理模式下财务人员作业方式,并且改变了企业组织构架、职能分布。
第一章绪论
第一节研究背景及意义
一、研究背景
近年来,共享经济作为国民经济发展的热点,其本质是把闲置的资源通过社会化平台与他人一起共享,达到节约成本、提高运营效率的作用。随着共享经济的不断发展,各类共享产品如雨后春笋般层出不穷,例如共享单车、共享雨伞、共享充电桩、共享办公室等。

财会管理论文怎么写
财务共享是共享理念在财务工作中的应用。上世纪80年代,福特公司率先建立了全球第一个财务共享服务中心,将下属公司简单的、共有的、重复性的财务活动都集中到财务共享中心来完成,这也是财务共享概念首次进入人们的视野,其创新的管理理念和节约基础会计管理成本等目标被其他企业所认可。上世纪90年代,财务共享理念迅速推广,许多大型集团、跨国公司纷纷建立了财务共享中心,并取得良好的实践效果,根据对30家在欧洲建立财务共享中心的跨国企业进行调查发现,他们的财务成本平均降低30%以上。上世纪末,财务共享的理念传入中国,国内的企业管理者也逐渐意识到了财务共享带来的创新和价值,中兴通讯是我国第一个建立财务共享中心的大型企业,随后,海尔集团、上药集团、平安集团腾讯、华为等也建立了符合自身情况的财务共享中心。
习近平总书记在以互通互联、共享共治为主题的第二届世界互联网大会上提出,加强信息基础设施建设,铺就信息畅通之路。财政部也提出了大型集团应探索利用信息基数,逐步建立财务共享中心的理念。由此,为我国企业在探索财务共享道路上提供了政策依据。
.........................
第二节国内外研究现状
一、国外研究现状
上世纪80年代,著名的汽车制造商福特公司最先推出了共享服务。由此开始,学术界开始对共享服务进行深入研究,财务共享的概念也由此提出,并取得了丰富的研究成果。
(一)财务共享的概念研究
1993年,RobertGunn等人首次提出了共享服务的概念,他们的研究指出在为企业提供服务的过程中,通过对技术和组织等资源进行共享,能使企业在分散的管理中取得竞争优势,这也是最早提出的共享服务的理念[1]。1996年,Danna Keith和RebeccaHirschfield通过共享服务中心进行研究,他们在研究中指出,共享服务中心主要的职能是将组织中分散的日常活动进行整合、规范,并根据服务内容进行业务单元收费,它应具有一定的独立性,是一个独立的实体[2]。2005年,Andrew Kris的《SharedService》一书中指出,企业的财务、人事及信息技术可以通过实现服务共享,达到提高工作效率,增强企业核心竞争力的目标[3]。2012年,Johnson的研究表明,财务共享是集中处理财务业务的过程,它通过把人员与技术进行整合,提升财务服务质量,进而达到节约运营成本的目的[4]。2014年,SiminicaMarian的研究指出,财务管理在企业的发展战略中,起着决定性的作用,企业财务管理的模式必须与企业的发展方向保持一致[5]。2017年,KateJ.Soln,Sun-YoumgPark通过研究,提出财务共享模式是一种以业务流程为中心,通过整合企业信息流,进行组织机构改革和流程的优化,为业务展开提供服务支持[6]。2019年,CaseyJ.Totenhagcn在研究中提出了,共享是将企业原有的业务进行重组,它包含了企业各方面资源的共享,不是只限于财务信息。通过共享能使资源配置变得精准,推动企业聚焦自身业务和规模扩大的战略[7]。
(二)财务共享的优势研究
2014年,Huang通过对共享服务中心的理论发展过程进行研究,他认为可以通过资源共享降低企业的管理成本[8]。2014年,Hu、Liu的研究表明,共享服务借助移动互联网、云计算等新兴技术,可以有效降低企业成本,提升管理效能。财务共享服务模式运用移动互联网、云计算等新兴技术,将有力推动财务共享中心建设飞速发展[9]。2015年,Markus提出了集中式的财务管理模式,他认为通过财务的共享、集中有利于企业获取财务数据信息,强化对下属机构的财务监控,避免财务风险的发生[10]。2016年,Ibrahim在研究中指出,财务共享管理模式有助于企业进行更有效的决策,它是企业进行精细化管理的必要手段,有利于促进企业的稳健发展[11]。
............................
第二章相关概念及理论基础
第一节财务共享相关概述
一、财务共享的产生
第二次世界大战以后,经济全球化迅速推进,世界贸易走向自由化和一体化的道路,跨国公司、大型集团企业迎来了扩张黄金期,企业的组织构架不停的膨胀,受到的来自地域、地理的限制不断缩小,在世界各地纷纷建立分(子)公司。
正是因为这种发展形式,企业后台部门如人力、财务已无法提供有效的运营服务,特别是下属分支机构不断设立,后台部门也得不停扩张,财务管理形成一种分散性模式,工作效率低下、管理成本上升等问题不断涌现,企业管理者们开始尝试着寻找新的管理模式。
1913年,美国福特公司在生产过程中创新性引入流水线的模式,大大降低了产品的生产成本,提高了工作效率,带来了一次汽车制造业上变革,上世纪80年代,福特公司把『流水线』的模式延伸至集团财务工作,将财务工作中基础环节交给固定财务人员集中办理,并成立了全世界第一个财务共享服务中心,这是财务共享第一次出现在公众视野。
二、财务共享的概念
财务共享概念出现以后,受到了越来越多的学者、企业家、管理者们的青睐,这一理念也不断的完善,笔者在前人基础上将财务共享总结定义为:财务共享是以信息技术为支撑,以处理业务流程为基础,以统一规范流程、优化组织架构、提升工作效率,形成规模效应、降低运行成本为目的,站着市场的视角,为企业内外部的客户提供了专业化服务的创新性管理模式。我们将提供这一服务的机构称为财务共享服务中心,简称FSSC(Financial Shared Service Center),企业内部把日常的、分散的、重复性的、可批量操作的、非核心的财务业务集中到财务共享服务中心标准、统一的处理,促进企业内部业务流程规范简化,让财务业务处理产生了规模效应,实现了信息共享,进而提升企业整体运行效率,财务人员也从繁琐的基础业务中释放出来,并向财务管理高端人才转型。
.............................
第二节业务流程再造、优化相关理论
一、业务流程再造的含义
1993年,Michael Hammer和James Champy在出版的合著中首次提出了业务流程再造(Business Process Reengineering,简称BPR)理论,他们论述:“流程再造”是企业依靠现代化的技术手段及新的管理理念,是对业务流程从根本上的思考和彻底性的再设计,以满足客户需求和提升满意度为目标,重新建立一个创新型的组织结构以达到在成本、速度、服务和质量方面取得明显改善的目标。
二、业务流程优化的概述
由于企业业务流程再造时往往需要花费更多的人力财力,在实际操作过程中,基于成本最优原则,企业往往更倾向于采用成本相对较低的业务流程优化来提升业务流程运行效率。
业务流程优化(Bussiness Process Improvement,BRI)是企业对内部的流程现状充分了解,深入分析可以优化改进的空间,根据自己的需要对流程进行整体或部分节点上的优化或重组,以达到降低运行成本,提高工作效率,提升企业竞争力目标。因此,业务流程优化优化有以下特征:
一是以价值为中心。业务流程优化是根据流程最优的目标优化流程中环节,提升流程运行效率,优化过程中删除或简化了低增值环节,保留精细化的价值环节,实现了以价值为中心。
二是以流程为导向。流程优化的目的是通过改变组织结构、业务流程、工作形式等方式,使企业以传统的职能导向型为中心转变为以流程导向型为中心的管理方式,使各部门之间分散割裂的业务流程改造为完整连贯的整合业务流程。
三是以客户需求为目标。这里的客户,不仅有企业内部的客户,也有企业外部的客户,流程优化应以内外部客户需求为目标,以客户为导向提升服务质量。
.......................
第三章H银行财务共享模式前费用报销流程现状分析..................18
第一节H银行基本状况.................................18
第二节H银行财务管理现状.........................20
第四章H银行财务共享模式下费用报销流程优化..........................30
第一节H银行财务共享模式下费用报销流程优化的动因分析..........................30
一、外部因素.............................30
二、内部因素..................................30
第五章费用报销流程优化后效果评估和保障措施.........................43
第一节流程优化后效果评估...........................43
一、费用报销时效性提高.................................43
二、提高费用使用效率...........................45
第五章费用报销流程优化后效果评估和保障措施
第一节流程优化后效果评估
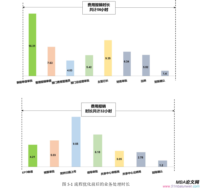
H银行财务共享建立以后,通过企业组织形式变革、财务管理系统的建立和升级、业务流程优化等一系列措施,减少非增值的环节,H银行财务共享模式下的费用报销流程优化压缩了费用报销平均时长,提高了费用使用效率,节约了财务成本,强化了内部控制、加强预算管理,为全面预算提供了技术支持。通过分析2014年至2020年H银行财务报表、内部统计资料的方式,本节从费用报销流程优化后的数据对比分析优化流程取得的效果。

财会管理论文参考
一、费用报销时效性提高
H银行财务共享中心建立后,一方面通过引进先进的财务管理系统,增加了移动报销平台,线上审批替代了线下审批,突破了空间和时间的限制,改善了报销人员拿着单据四处找领到签字的现象,费用报销得到了实时审批。一方面针对原流程弊端,消除了流程中多余重复环节,事前审批就从16.31时长缩短到10.24时长,极大提高了报销效率。另一方面,流程优化前,财务人员任务都是随机分配,很容易出现任务分配不均的现象,优化后系统根据任务量多少自动派单,使财务人员更能合理安排工作时间,提高审批效率。
员工报销费用最关注的是多久能收到这笔报销费用。优化前的费用报销流程主要包括8个主要环节:事前申请,事后整理报销单据、部门费用管理员审批,部门总经理审批,主管行长审批,财务审批,出纳付款,确认到账。优化后费用报销流程主要包括7个主要环节,包括:EPO发起申请,领导预算审批,上传附件,领导审批,提交财务共享中心会计审核岗,出纳支付,确认到账等。
.......................
第六章总结及展望
第一节总结
本文以H银行的费用报销模块作为研究对象,通过对比传统业务流程存在的弊端,以及财务共享模式改革下业务流程优化的具体过程、效果分析,发现财务共享不仅改变了传统管理模式下财务人员作业方式,并且改变了企业组织构架、职能分布。主要得出以下的研究结论:
一、业务流程优化是财务共享模式的微观表现
在系统方面,财务共享中心需要自身系统和企业内部系统之间完成数据传递来提升工作效率;在组织构架方面,财务共享中心把财务工作从企业中剥离出来,形成了“端到端”的工作方式,在新的工作方式下H银行需要重新设计业务流程;在财务工作方面,财务共享对工作流程进行了重新设计,形成了“工作线”的概念。所以,流程优化贯穿于整个财务共享改革中,财务共享是企业管理模式改革的宏观角度,流程优化是财务共享的微观表现。
二、管理的重要性
财务共享模式下,业务流程被细分,财务工作人员就像在流水线一样,每人负责很一份细小的任务,一项任务结束后紧接着进入下一项任务,一环紧扣一环,为了保障工作保质保量完成,需要每个环节不出差错,这就体现了关注管理的重要性,管理始终是人的管理,只有做好对共享服务从业人员的管理,才能保障新的理念和技术的落实。
三、依托于先进的信息技术
财务共享下的业务流程优化,离不开高度集成的信息技术,无论是从最开始的发起申请、线上审核还是最后的资金支付,都依赖于系统的功能,系统为财务共享中心建立、业务流程优化提供了技术条件,这也是为什么H银行花费大量资金用于系统研发、升级和维护的原因。
参考文献(略)
- 海格通信连续并购绩效研究2017-07-10
- 资本多元化对河北省制造业企业创新投入驱动作用研究2017-09-26
- 女性高管与上市公司财会融资优序2017-12-26
- T化工企业财会应收账款风险度量模型及信用政策优化...2018-01-30
- 基于功效系数法的K房地产公司财会风险预警体系研究2018-02-13
- 不同金融发展程度下财会柔性对企业价值的影响2018-03-01
- 重庆水务营运财会风险管理研究2018-03-18
- 传媒企业借壳上市财会问题及对策研究2018-04-16
- 电子商务模式下京东商城的内部财会控制研究2018-04-20
- “营改增”对房地产业影响效应财会管理分析2018-05-02


